比特币官网

解密 DePIN 生态:AI 算力的变革力量

解密 DePIN 生态:AI 算力的变革力量缩略图

来源:Gryphsis Academy

DePIN 这一概念,由 Messari 在 2022 年 11 月 正式提出,实际上这并不是一个新奇的概念,与之前的 IoT( Internet of Things,物联网)有一些相似之处,笔者认为,DePIN 是一种新的“共享经济”。

与之前的 DePIN 热潮不同的是,本轮周期的 DePIN 热点项目主要围绕着 AI 三要素(数据、算法、算力)来展开,其中尤以 “算力” 项目最为耀眼,例如 io.net、Aethir、Heurist 等,所以本文着重分析了有关 “算力”  的项目。

本篇文章总结提炼了 DePIN 项目的基本框架,按照 “WHAT-WHY-HOW” 的结构来对 DePIN 赛道做了一个总览性的回顾与总结,而后,笔者根据自身经验明确了一个分析 DePIN 项目的基本思路,同时,按照该思路对具体的 “算力” 项目进行了详细分析。

1. 什么是DePIN

1.1 DePIN的定义

DePIN 的全称为:Decentralized Physical Infrastructure Networks,中文为 “去中心化物理基础设施网络”。DePIN 是一种运用区块链技术,以去中心化的方式连接物理硬件基础设施的网络,让用户可以无需许可访问并以经济实惠的方式利用网络资源,DePIN 项目通常使用代币奖励系统来激励用户积极参与网络建设,遵循“贡献越多,收益越多”的原则。 

DePIN 项目的应用领域非常广泛,涵盖了数据收集、计算和数据存储等多个领域,CePIN 涉及到的领域通常都有 DePIN 的身影。

从 DePIN 项目的运作方式以及其经济模型上来思考,整个 DePIN 项目本质上就是一种新的“共享经济”。所以在对 DePIN 项目进行初步分析时,可以采取一种简洁的方法:首先识别该项目的核心业务是什么。

如果该项目主要涉及算力或存储服务,那么可以将该 DePIN 项目简单定义为提供 ‘共享算力’ 和 ‘共享存储’ 服务的平台。这种分类有助于更清晰地理解项目的价值主张及其在市场中的定位。

解密 DePIN 生态:AI 算力的变革力量

source: @IoTeX

在上述共享经济模型图中,主要有三个参与者,需求方、供给方、平台方。在该模式中,首先,需求方会向平台方发送需求,例如打车、住房等;然后,平台方会把需求传递给供给方;最后,供给方会根据需求提供相应的服务,以此来完成整个业务的流转过程。

在该模式中,资金的流转过程首先从需求端流转到平台端,然后在需求方确认订单后,资金再从平台方流转到供给端,平台方通过提供稳定的交易平台和良好的订单交割体验来赚取手续费盈利。回想一下你打滴滴的过程,就是该模式的一种体现。

在传统的 “共享经济” 模式中,平台方通常为中心化大企业,其网络、司机和业务的控制权仍然掌握在 “滴滴” 自己手中,而且有的 “共享经济” 模式中的供给方也是平台方,例如 “共享充电宝”,“共享电动车”。这就会产生以下几个问题,企业容易垄断化、企业作恶成本变低、手续费收取过高侵害供给方的利益。也就是说定价权掌握在中心化的企业中,掌握生产资料的人并不掌握定价权,这并不共产主义。

然而,在 Web3 的 “共享经济” 模式中,撮合交易的平台是一个去中心化协议,它消除了中间商(滴滴),使得定价权掌握在 “供给端” 手中,这样会为乘客提供了更经济的乘车服务,为司机提供了更高的收入,并使司机能够对他们每天帮助构建的网络产生影响,这是一种多方共赢的模式。

1.2 DePIN的发展历史

自比特币兴起以来,人们就开始探索将点对点网络与物理基础设施相结合,即在各种设备之间构建一个开放的、具有经济激励的去中心化网络。受到 Web3 中 DeFi、GameFi 等名词的影响,MachineFi 是最早被提出的概念之一。

解密 DePIN 生态:AI 算力的变革力量

  • 2021 年 12 月,IoTeX 是第一个为这个新兴领域命名的企业,称其为 “ MachineFi ”。这个名字将 “ Machine ”(机器)和 “ DeFi ”(去中心化金融)结合起来,代表了机器及其所产生的数据的金融化概念。

  • 2022 年 4 月,Multicoin 提出了 “ Proof of Physical Work ”( PoPW )的概念,这指的是一种能够使任何人在无需许可的情况下贡献到一组共享目标的激励结构。由于这一机制的提出,极大的推动了 DePIN 的发展速度。

  • 2022年9月,Borderless Capital 提出了 “ EdgeFi ” 这一概念。

  • 2022 年 11 月,Messari 进行了一项 Twitter 投票,旨在统一这个领域的名称缩写,选项包括 PoPW、TIPIN、EdgeFi 和 DePIN。最终  DePIN 以 31.6% 的选票获胜,成为这一领域的统一名称。

    解密 DePIN 生态:AI 算力的变革力量

    source: @MessariCrypto

    2. 为什么需要 DePIN

    在传统的物理基础设施网络(如通信网络、云服务、能源网络等)中,由于巨大的资本投入和运营维护成本,市场往往由大公司或巨头公司主导。这种集中化的产业特性带来了以下几大困境与挑战:

    • 政企利益捆绑紧密,新进入者门槛高:以美国通信业为例,联邦通信委员会( FCC )通过拍卖无线频谱给出价最高的企业。这使得资本雄厚的企业更容易胜出,掌握市场绝对优势资源,导致市场的马太效应显著,强者愈强。

    • 市场竞争格局稳定,创新与活力不足:少数获得许可的企业拥有市场定价权,这些企业由于现金收益丰厚且稳定,往往缺乏进一步发展的动力,导致网络优化速度慢、设备再投资与升级不及时、技术创新和人员更新动力不足。

    • 技术服务外包化,服务标准参差不齐:传统产业走向专业化外包,但不同外包服务商的服务理念与技术水平差异较大,导致交付质量难以把控,缺乏有效的外包协作机制。

    2.1 CePIN的缺点

    • 中心化控制:CePIN 由中心化机构控制,存在单点故障的风险,易受攻击,且透明度低,用户对数据和操作没有控制权。

    • 高进入门槛:新进入者需要克服高额资本投入和复杂的监管门槛,限制了市场竞争和创新。

    • 资源浪费:由于中心化管理,存在资源闲置或浪费现象,资源利用率低。

    • 低效的设备再投资:决策集中在少数机构,设备更新和投资效率低下。

    • 服务质量参差不齐:外包服务质量难以保证,服务标准不一。

    • 信息不对称:中央机构掌握所有数据和操作记录,用户无法完全了解系统内部的运行情况,增加了信息不对称的风险。

    • 激励机制不足:CePIN 缺乏有效的激励机制,用户参与和贡献网络资源的积极性不高。

    2.2 DePIN的优点

    • 去中心化:无单点故障,增强了系统的可靠性和弹性,减少了被攻击的风险,提高了整体安全性。

    • 透明性:所有交易和操作记录公开可审计,用户对数据拥有完全控制权,用户可参与决策过程,增加了系统的透明度和民主性。

    • 激励机制:通过代币经济学,用户可以通过贡献网络资源获得代币奖励,激励用户积极参与和维护网络。

    • 抗审查性:由于没有集中控制点,网络更难被审查和控制,信息自由流动。

    • 高效资源利用:利用分布式网络激活潜在的闲置资源,提高了资源利用率。

    • 开放性和全球部署:无需许可,协议开源,可全球部署,打破了传统 CePIN 的地域和监管限制。

    DePIN 通过去中心化、透明性、用户自主权、激励机制和抗审查性等方面的优势,解决了 CePIN 的中心化控制、数据隐私问题、资源浪费和服务质量参差不齐等问题。推动了物理世界生产关系的变革,实现了更高效、可持续发展的物理基础设施网络。因此,对于需要高安全性、高透明度和高用户参与度的物理基础设施网络, DePIN 是一个更为优越的选择。

    3. 怎么样实现一个DePIN网络

    3.1 不同共识机制的比较

    在探讨如何实现一个 DePIN 网络前,我们先对 DePIN 网络常用的 PoPW 机制进行阐述说明。

    解密 DePIN 生态:AI 算力的变革力量

    DePIN 网络的需求是能够快速扩展网络、节点参与网络成本低、网络供应节点多、网络去中心化程度高。 

    PoW 由于需要提前购买价格高昂的矿机才能参与网络的运行,这大大提高了参与 DePIN 网络的门槛,所以其不适合用来当作 DePIN 网络的共识机制;PoS 也需要提前质押相关代币,这会减少用户参与网络节点运行的意愿,同样其也不适合用来当作 DePIN 网络的共识机制; PoPW 的出现刚好满足了 DePIN 网络的特性需求,正是 PoPW 机制的出现,使得物理设备更加方便的接入到网络中,大大加快了 DePIN 网络的发展进程。

    同时与 PoPW 结合的经济模型从根本上解决了先有鸡还是先有蛋的困境。使用 Token 奖励,协议可以激励参与者将网络的供应方构建到对用户具有吸引力的程度。

    3.2 DePIN网络的主要参与方

    通常而言,一个完整的 DePIN 网络包括以下几个参与方。

    • Founder:指的是 DePIN 网络的发起者,也就是我们通常所说的“项目方”。 Founder 在网络早期是网络最重要的参与方,它承担着网络的构建及冷启动的重要责任。

    • Owner:指 DePIN 网络资源的供给方,例如算力矿工、存储矿工。他们通过给网络提供软硬件资源来赚取协议代币,在网络冷启动阶段,供给方是非常重要的角色。

    • Consumer:指 DePIN 网络资源的需求方,通常来说 DePIN 项目大部分的需求都来自于 B 端用户,且大多来自于 Web2,整个 Web3 对 DePIN 网络的需求是比较小的,仅仅靠 Wbe3 用户的需求是很难撑起整个网络运作的,例如 Filecoin,Bittensor 就是典型的此类项目。

    • Builder:指维护 DePIN 网络以及在网络中扩展生态的人员,通常在网络发展期随着网络的壮大会有越来越多的Builder 加入到生态建设当中,当然在网络发展早期 Builder 主要由 Founder 组成。

    解密 DePIN 生态:AI 算力的变革力量

    3.3 DePIN网络的基本组成部分

    DePIN 网络想要成功运行,需要同时与链上和链下数据交互,这就离不开稳定且强大的基础设施以及通信协议,总的来说,DePIN 网络主要包含以下几个部分。

    • 物理设备基础设施:通常由 Owner 提供网络所需的物理设备,例如 GPU,CPU 等。

    • 链下计算设施:物理设备产生的数据需要通过链下计算设施将数据上传到链上验证,这就是我们所说的 PoPW 证明机制,通常使用预言机将数据上传到链上。

    • 链上计算设施:在数据得到验证后,需要对该设备的 Owner 的链上账户地址进行核对并将代币奖励发到该链上地址中。

    • 代币激励机制:也就是我们通常所说的代币经济模型,代币经济模型对 DePIN 网络具有非常重要的作用,在网络的不同发展时期有着不同的作用,在后文中会对其进行详细的阐述。

    解密 DePIN 生态:AI 算力的变革力量

    3.4 DePIN网络的基础运行模式

    DePIN 网络的运行模式与上述架构图的执行顺序类似, 基本上是链下数据生成然后到链上数据确认,链下数据遵循“从下至上”的规则,链上数据遵循“从上至下”的规则。

    • 设备提供服务以获取激励:DePIN 项目的硬件设备通过提供服务(如在 Helium 中提供信号覆盖)来获取奖励,如 $HNT 奖励。

    • 出示证据:在获取激励之前,设备需要出示证据证明其按要求付出了一定的工作。这个证据称为物理工作证明( PoPW )。

    • 使用公私钥进行身份核验:类似于传统公链中的公私钥体系,DePIN 设备的身份核验流程也需要使用公私钥。私钥用于生成和签署物理工作证明,而公钥则被外界用于验证证明或作为硬件设备的身份标签( Device ID )。

    • 奖励发放:DePIN 项目会部署智能合约。该合约记录着不同设备持有人的链上账户地址,实现了链下物理设备收到的代币奖励直接打到设备持有人的链上账户里的功能。

    用一个简单的例子,来进一步简化这一过程,将 DePIN 网络的运行模式比喻为一堂考试。

    • 老师:Token 的发行方,需要核对“学生成绩”的真实性。

    • 学生:Token 的获取方,需要完成“考试试卷”才能获得 Token 奖励。

    首先,老师会将试卷发到学生手中,学生需要按照试卷要求完成考试;然后学生将完成后的试卷交到老师手中,由老师来阅卷评分,按照降序的原则对排名靠前的学生给予大红花奖励。

    其中,“下发的试卷”就是 DePIN 网络需求端的“需求订单”,试题的解法要遵循一定规则( PoPW ),老师要确定该份试卷是A学生完成的,就要核对该试卷上的 A 学生的字迹(私钥)名字(公钥),然后老师会对该试卷的完成情况进行评分,评分完毕后老师会用红笔打上分数,降序原则进行排序,降序原则也满足 DePIN 项目的 Token 分发原则-“贡献越多,收益越多”。

    DePIN 网络的基本运作机制与我们日常生活中的考试制度具有相似之处。在加密货币领域,许多项目实际上是现实生活模式在区块链上的映射。面对难以理解的项目,我们建议采用类比的方法,将其与日常生活中熟悉的情境相比较,以促进对项目概念的理解和掌握。这种类比方法有助于揭示项目背后的运行逻辑和原理。

    4. DePIN 赛道分类

    我们按照 WHAT-WHY-HOW 的逻辑顺序,对 DePIN 赛道进行了总览性的回顾,接下来,我们来梳理 DePIN 板块的具体赛道。板块拆解方式, 整体分为 物理资源网络-数字资源网络 两部分。

    • 物理资源网络:激励参与者使用或部署基于定位的硬件设施,并提供现实世界的非标准化商品和服务。具体可再细分为:无线网络、地理空间数据网络、移动数据网络、能源网络。

    • 数字资源网络 :激励参与者使用或部署硬件设施,并提供标准化的数字资源。具体可再细分为:存储网络、算力网络和带宽网络。

    解密 DePIN 生态:AI 算力的变革力量

    其中,部分版块的代表项目如下:

    4.1 去中心化存储网络-Filecoin

    Filecoin 是全球最大的分布式存储网络,全球有超过 3800 个存储提供者贡献了超过 17M TB 的存储容量。Filecoin 可以说是最知名的 DePIN 项目了,其 $FIl 币价在 2021 年 4 月 1 日达到顶峰。Filecoin 的愿景是将开放、公开可验证的特性带到支持数据经济的三大核心支柱,存储、计算、内容分发。

    Filecoin 文件的存储基于 IPFS ( InterPlanetary File System,星际文件系统),利用 IPFS 可实现文件安全且高效的存储。

    Filecoin 还有一个独特的地方是其经济模型,在成为 Filecoin 的存储节点之前需要质押一定数量的 $FIl 代币,这样在牛市时会形成“质押代币->总存储空间增加->更多的节点参与->更多的质押代币需求->币价飞升”这样的飞轮;但是在熊市时也容易发生币价螺旋下跌,这种经济模型更适合在牛市大展身手。

    4.2 去中心化GPU渲染平台-Render Network

    Render Network 是 OTOY 公司旗下的去中心化 GPU 渲染网络平台,由艺术家和 GPU 算力提供者组成,能够为全球用户提供触手可得的强大渲染功能。其 $RNDR 币价在 2024 年 3 月 17 日达到顶峰,由于 Render Network ($RNDR) 也是属于 AI 板块,所以其币价的高峰期就处于 AI 板块的高峰期。

    Render Network 的工作模式为:首先,创作者提交需要 GPU 渲染的工作,如 3D 场景、高分辨率图像/视频等,并将这些工作分发到网络中的 GPU 节点进行处理;然后,节点所有者( Node Operators )将闲置的 GPU 算力贡献给Render Network,并获得 $RNDR 代币报酬。

    Render Network 的定价机制也是其独特的一点,它使用动态定价模型,根据工作复杂度、紧急程度和可用资源等因素来确定渲染服务价格,为创作者提供有竞争力的价格,同时也公平地补偿了 GPU 算力提供者。

    Render Network 最近的利好是 “ iPad 上的 Octane(一个专业渲染应用)是由Render 网络支持的。”

    4.3 去中心化的数据市场-Ocean

    Ocean Protocol 是一个去中心化的数据交换协议,主要是做数据间的安全共享以及数据的商业化应用,它与常见的DePIN项目一样也有几大项目参与方。

    • 数据提供者:在协议上分享数据

    • 数据消费者:使用 OCEAN 代币购买数据的访问权限

    • 节点运营者:维护网络基础设施并获得 OCEAN 代币奖励

    对于数据提供者而言,数据的安全性和隐私性至关重要,Ocean Protoco 通过以下机制来实现数据的流动以及数据的安全保护:

    • 数据安全与控制: Ocean Protocol 通过区块链技术确保数据交易的安全和透明,数据所有者可以完全控制他们的数据。

    • 数据代币化: 数据代币化使得数据可以像其他加密货币一样被买卖和交换,这样就提升了数据市场的流动性。

    • 隐私保护: 通过 Compute-to-Data 功能,数据可以在不暴露原始数据的情况下进行计算和分析,数据所有者可以批准AI算法在他们的数据上运行,而计算过程只在数据所有者的本地环境中进行,确保数据不离开其控制范围。

    • 细粒度权限控制:Ocean Protocol 提供细粒度的权限控制,数据提供者可以设置详细的访问控制策略,指定哪些用户或用户组可以访问特定的数据部分,并在何种条件下访问。这种权限控制机制确保了数据间的安全共享,同时维护了数据隐私。

    4.4 一个兼容EVM的L1-Lotex

    IoTeX 成立于 2017 年,是一个开源的、以隐私为核心的平台,结合了区块链、安全硬件和数据服务创新,为可信事物的互联网提供支持。

    与其他 DePIN 项目不同,IoTeX 的定位是为 DePIN 建设者设计的一个开发平台,就比如 Google  的 Colab。IoTeX最重要的技术是链下计算协议 W3bStream,W3bStream 的功能就是将物联网设备接入到区块链中。一些知名的 IoTeX DePIN 项目有 Envirobloq、Drop Wireless 和 HealthBlocks。

    4.5 去中心化的热点网络-Helium

    Helium 成立于 2013 年,是老牌 DePIN 项目,它是第一个创建大规模的用户贡献新硬件网络的项目,用户可以通过购买第三方制造商制造的 Helium 硬件热点( Hotspot ),为附件的物联网设备提供热点信号;同时 Helium 会给予硬件热点 $HNT 代币来作为维护网络稳定的奖励。其实也就是一种挖矿模式,只不过挖矿的设备由项目方来指定。

    在 DePIN 赛道中的设备模式,主要有两种模式,一种模式是由项目方指定的定制化的专用硬件,比如 Helium;另一种模式是将生活中常用的普适性硬件并入到网络中,比如 Render Network,io.net 都是将用户闲置的 GPU 并入到网络中。

    Helium 最重要的技术是它的 LoRaWAN 协议,这是一种低功耗、长距离的无线通信协议,特别适用于 IoT 设备,这些 Helium 硬件热点(Hotspot)正是通过 LoRaWAN 协议来提供网络无线覆盖。

    虽然 Helium 建立了全球最大的 LoRaWAN 网络,但需求没有如预期那样出现,现在 Helium 更专注于推出 5G 蜂窝网络。

    在 2023 年 4 月 20 日,Helium 已经迁移到 Solana 网络,并后续在 Solana 上推出了 Helium Mobile(美洲移动)这个项目,该项目主打每月 20 美元 5G 无限流量套餐,由于其经济实惠的价格,该项目迅速在北美火热起来。

    从为期 5 年的全球 “DePIN” 搜索指数可以看出,在 23 年 12 月到 24 年 1 月迎来一波小高峰,此时正是 $MOBILE 币价的顶部区间,后续 “DePIN” 热度继续上行。可以说,Helium Mobile 开启了新一轮 DePIN 项目大航海时代。

    解密 DePIN 生态:AI 算力的变革力量

    source: @Google Trendes

    5. DePIN 经济模型

    DePIN 项目的经济模型,对于项目的发展具有至关重要的的地位,在项目的不同阶段,具有不同的作用,例如在项目起步阶段,主要是通过代币激励机制来吸引用户贡献自己的软硬件资源来完成项目供给端的建设。

    5.1 BME模型

    在探讨经济模型之前,我们先对 BME 模型进行简要的梳理,因为大多 DePIN 的经济模型都与 BME 模型有关。

    BME( Burn-and-Mint Equivalent,燃烧铸币平衡模型),用于管理代币的供应和需求,具体来说是指需求端通过燃烧 Token 购买商品或服务,协议平台则通过铸造新 Token 来奖励供应链环节的各个贡献者。 

    若新铸造的 Token 超过燃烧的数量,总供应将增加,导致价格下降;反之,若燃烧量超过铸造量,产生通缩,导致价格上涨。不断上涨的 Token 价格会吸引更多的供给端用户,形成一个良性循环。

    供应>需求 => 价格下降

    供应<需求 => 价格上涨

    我们可以利用 Fisher Equation(费雪交易方程)来对 BME 模型进行进一步阐述。Fisher Equation 是一个描述货币供应量、货币流通速度、价格水平和交易数量之间关系的经济学模型,其具体形式为:

    MV = PT

    • M= 货币供应量

    • V = 货币流通速度

    • P = 价格水平

    • T = 交易数量

    当 Token 流通速度 V 上升时,在其他条件不变的情况下,只有通过燃烧机制来降低  Token 流通量(M)才能保持等式的平衡。因此,随着网络使用量的增长,燃烧的量也会加速。当通胀速率与燃烧速率可实现动态平衡时,BME 模型就可以保持稳定的均衡状态。

    解密 DePIN 生态:AI 算力的变革力量

    source: @Medium

    以现实生活中购买商品为具体例子,来说明这一过程。首先,制造商会制造商品,然后消费者来购买这些商品。

    在购买过程中,你并没有把钱交给制造者,而是燃烧给定的金额,作为你收到你购买商品的公开凭证。同时,协议平台方每隔一段时间就会铸造新的货币。此外,这笔钱被透明和公平地分配给负责生产、分销、销售等供应链环节的各个贡献者。

    5.2 BME 模型的优缺点比较

    解密 DePIN 生态:AI 算力的变革力量

    source:@GryphsisAcademy

    5.3 经济模型发展阶段

    有了 BME 模型的简单理解后,我们就可以更加清晰的理解 DePIN 赛道常见的经济模型了。

    总体而言,DePIN 经济模型大致分为以下三个阶段:

    第一阶段: 冷启动期和网络建设阶段

    • 这是 DePIN 项目的初始阶段,重点是建立物理基础设施网络

    • 通过代币激励机制,吸引个人和企业贡献软硬件资源(如计算能力、存储空间、带宽等),推动网络的部署和扩张

    • 项目通常依赖核心团队以较为中心化的方式部署节点和推广网络,直到达到一定的临界规模

    • 代币主要用于奖励贡献者提供硬件资源,而非支付网络使用费用

    第二阶段: 网络发展期和价值捕获阶段

    • 一旦网络达到临界规模,项目将逐步过渡到去中心化的社区治理模式

    • 网络开始吸引终端用户,代币除了奖励贡献者外,还可用于支付网络使用费用

    • 项目通过代币化捕获网络内产生的经济价值,并将其分配给贡献者和参与者

    • 代币经济模型通常使用BME模型去平衡供给和真实需求,避免通胀或通缩

    第三阶段: 成熟期和价值最大化阶段

    • 网络拥有大量活跃用户和贡献者,形成了良性循环

    • 代币经济模型更注重长期价值创造,通过精心设计的通缩机制提高代币价值

    • 项目可能引入新的代币模型来优化代币供给,促进双边市场的正向外部性

    • 社区自治成为网络治理的主导模式

    解密 DePIN 生态:AI 算力的变革力量

    一个好的经济模型会对 DePIN 项目产生经济飞轮效应。因为 DePIN 项目采用 Token 激励机制,会在项目冷启动期带来很多供给端的注意力,所以能够借助飞轮效应实现规模的迅速扩张。

    Token 激励机制是 DePIN 项目快速增长的关键。项目首先需要根据物理基础设施类型,为物理基础设施的可扩展性开发制定适当的奖励标准。例如,为了扩大网络的覆盖区域,Helium 在网络覆盖密度较低的区域的奖励高于密度较高的区域。

    如下图所示,在项目早期投资者会把真金白银投入到项目中,这样 Token 就有了初始的经济价值,供给端为了获得Token 奖励会积极参与到项目的建设中,随着网络初具规模以及其相较于 CePIN 的低廉价格,越来越的需求端开始采用 DePIN 项目的服务,这样就为整个网络协议带来了收入,形了成一个供给端到需求端的良好通路。

    随着需求端的需求上升,Token 价格通过销毁或回购(BME模型)的方式上升,这为供给端提供了额外激励,使他们愿意继续扩张网络,因为这意味着他们所获得的 Token 价值也会随之增加。

    随着网络的不断扩张,投资者对该项目的兴趣逐渐升高,并开始为其提供更多的资金支持。

    如果项目是开源的,或者将贡献者/用户数据向公众开放,那么开发者可以基于这些数据构建 dApp,在生态系统内创造额外的价值,从而吸引更多的用户和贡献者。

    解密 DePIN 生态:AI 算力的变革力量

    source: @IoTeX

    6. DePIN 赛道的现状

    当下 DePIN 项目热度主要集中在 Solana 网络和“ DePIN x AI ”这个赛道,从谷歌指数就能看出,在网络基建中,DePIN 和 Solana 的关联性最强,且高关注地区主要集中在亚洲,包括中国,印度等,这也说明参与 DePIN 项目的主要用户还是来自于亚洲。

    解密 DePIN 生态:AI 算力的变革力量

    source: @Google Trendes

    当下整个 DePIN 赛道的总市值为 “$32B ”,对比传统的 CePIN 项目,例如中国移动市值为 “$210B ”,AT&T(美国最大的运营商)市值为 “$130B ”,仅从市值角度来分析整个 DePIN 赛道还有很大的增长空间。

    解密 DePIN 生态:AI 算力的变革力量

    source: @DePINscan

    同时从 DePIN 赛道总设备数量的变化曲线图中可以看出,拐点出现在 2023 年 12 月份,同时该时间段也是Helium Mobile 热度最高币价最高的时间,可以说 2024 年的 DePIN 热潮是由 Helium Mobile 打开的。

    如下图所示,展示的是全球 DePIN 设备的分布图,从图中可以看出 DePIN 设备主要分布在北美、东亚、西欧等区域。这些区域都是经济较为发达的地区,因为用户想要成为 DePIN 网络的节点是需要提供软硬件设备的,而这些设备是需要花钱购买的,以高端消费级 GPU 来说,一块 RTX-4090 的价格为 $2,000,对经济不发达地区的用户来说这是一笔不菲的费用。

    由于 DePIN 项目的 Token 奖励机制遵循“贡献越多,收益越多”的原则,所以用户如果想要获得更多的 Token 奖励就需要贡献更多的资源和更高端的设备,对于项目方来说这当然是好事,但对于用户来说这无疑提高了参与门槛。一个好的 DePIN 项目是能向下兼容的,是具有包容心的,参与门槛不会特别高,它会给予低端设备一个参与机会,这才符合区块链“公平、公正、透明”的精神。

    从全球设备分布图来看,还有很多区域没被开发出来,我们认为,通过持续的技术创新和市场拓展,DePIN 赛道有望实现全球范围内的增长,触及每一个角落,连接世界各地的人们,共同推动技术进步和社会发展。

    解密 DePIN 生态:AI 算力的变革力量

    source: @DePINscan

    7. DePIN 项目分析的基本步骤

    经过我对 DePIN 赛道的简要梳理,笔者总结了分析一个 DePIN 项目的基本步骤。

    最重要的是,把 DePIN 项目的运作模式当作 Web2 中的共享经济来分析。

    解密 DePIN 生态:AI 算力的变革力量

    8. io.net

    8.1 项目基本信息

    项目简介

    io.net 是一个去中心化计算网络,支持在 Solana 区块链上开发、执行和扩展机器学习应用程序。它们的愿景是“将 100 万个 GPU 组合在一起,形成世界上最大的 GPU 集群。”使工程师能够在可访问、可定制、经济高效且易于实施的系统中获得大量计算能力。

    团队背景

    • 创始人兼首席执行官:艾哈迈德·沙迪德,在创立 io.net 之前,他曾从事定量金融和金融工程工作,也是以太坊基金会的志愿者。

    • 首席营销官兼首席战略官:Garrison Yang ,杨旭东。在此之前,他是 Avalanche 的战略与增长副总裁,并且是加州大学圣巴巴拉分校的校友。

    可以看出该项目的技术背景是较扎实的,很多创始人都有 Crypto 从业经验。

    叙事:AI,DePIN,Solana 生态。

    融资情况

    解密 DePIN 生态:AI 算力的变革力量

    source: @RootDataLabs

    解密 DePIN 生态:AI 算力的变革力量

    source: @RootDataLabs

    io.net 在 2024 年 3 月 5 日获得 3,000 万美元的 A 轮融资,估值 10 亿美金,对标- Render Network,参投方除了Hack VC、OKX Ventures、Multicoin Capital 等知名顶级投资机构外,还有 Anatoly Yakovenko(Solana CEO)、Yat Siu( Animoca co-founder )等项目掌门人,可以说 io.net 从诞生之初就得了顶级资本的青睐和扶持,这就是我们为什么称 io.net 为明星项目的原因-有资金、有背景、有技术、有空投预期。

    8.2 产品架构

    io.net 的产品主要分为以下几大部分:

    • IO Cloud :部署和管理按需分散的 GPU 集群,这是针对需求端用户的算力设备管理界面。

    • IO Worker:提供了一个全面且用户友好的界面,通过直观的 Web 应用程序有效地管理用户的 GPU 节点操作,这是针对供给端用户的算力设备管理界面。

    • IO Explorer:为用户提供了一个了解网络内部运作的窗口,提供全面的统计数据和对 GPU 云各个方面的鸟瞰图。就像 Solscan 或区块链浏览器为区块链交易提供可见性一样。

    • BC8.AI:是一种先进的 AI 驱动的图像生成器,它利用深度神经网络根据文本描述或种子图像创建高度详细和精确的图像。这是 io.net 上的一个AI应用,只需使用 io.net 的用户 IO ID 就可以便捷的使用该AI生图应用。

    如下所示是在 BC8.AI 上面生成的具有梵高风格的猫猫图像。

    解密 DePIN 生态:AI 算力的变革力量

    source: @ionet

    产品特性及优点

    相较于传统的云服务商 Google Cloude、AWS,io.net 具有以下特性及优点:

    • GPU 数量多,算力大;

    • 价格便宜,性价比高;

    • 抗审查-无需审核就能快速使用 A100 H100 等尖端 GPU;

    • 反垄断;

    • 用户定制化程度高。

    我们以 AWS 为例来详细进行比较:

    解密 DePIN 生态:AI 算力的变革力量

    可访问性是指用户访问获取算力的便捷程度,当访问传统的云服务商时,你需要提前出示自己的银行卡、联系方式等关键身份信息,而当访问 io.net 时,你只需要一个 Solana 钱包即可快速便捷的获取网络的算力许可。

    定制化程度是指用户对算力集群的定制化程度,当访问传统的云服务商时,你只能选择算力集群的机器型号,机器所在区域,而当访问 io.net 时,除了选择上述选项之外你还可以选择带宽速度、集群类型、数据加密方式、计费方式等。

    解密 DePIN 生态:AI 算力的变革力量

    source: @ionet

    如上图所示,当用户选择 NVIDIA A100-SXM4-80GB 型号 GPU,香港服务器,超高速带宽速度,小时计费方式,端到端加密加密方式后,其单块 GPU 的价格为 $1.58 每小时,从这里可以看出 io.net 的用户定制化程度是非常高的,可供用户选择的选项特别多,把用户的体验放在了第一位,对于DePIN项目来说这也是其扩大需求端促进网络健康发展的方式。

    如下图所示为传统云服务商的 NVIDIA A100-SXM4-80GB 型号 GPU 的价格,在所需算力大小相同的情况下,io.net的价格至少比传统云服务商便宜一半,这对于用户来说是非常有具有吸引力的。

    解密 DePIN 生态:AI 算力的变革力量

    8.3 网络整体情况

    我们可以通过 IO Explorer 来全面查看整个网络的算力情况,包括设备数量、可供服务区域、算力价格等。

    算力设备情况

    当前,io.net 共有 101,545 个经过验证的 GPU,31,154 个经过验证的 CPU。io.net 会每隔 6 小时去验证算力设备是否在线,以确保 io.net 的网络稳定。

    解密 DePIN 生态:AI 算力的变革力量

    source: @ionet

    第二张图展示的是当下可用的已经通过 PoS 证明且易于部署的算力设备,与 Render Network 和 Filecoin 相比,数量超出了一个数量级,从这里可以看到 io.net 的算力设备数量是很多的,而且 io.net 还集成了 Render Network 和Filecoin 的算力设备,用户可以在部署算力集群的时候去选择算力设备提供商,始终以用户体验为导向满足用户的定制化需求。

    解密 DePIN 生态:AI 算力的变革力量

    source: @ionet

    io.net 的算力设备中还有一个特点是其高端算力设备数量较多,以美国为例,H100、A100 等高端 GPU 都有好几百块,在美国制裁以及 AI 大爆发的情况下,高端显卡已经成为了非常珍贵的算力资产。

    在 io.net 的中,无论你是否为美国公民你都可以在无需审核的情况下去使用这些供给端提供的高端算力设备,这就是为什么我们说 io.net 具有反垄断的特性优点。

    解密 DePIN 生态:AI 算力的变革力量

    source:@ionet

    业务营收情况

    从 io.net 的营收看板中可以看出,io.net 每天都有稳定的收益,总收益已经达到了百万美金级别,从这里可以看出io.net 已经完成了供给端的搭建,整个项目已经逐渐度过了冷启动期,开始向网络发展期前进。

    解密 DePIN 生态:AI 算力的变革力量

    source: @ionet

    解密 DePIN 生态:AI 算力的变革力量

    source: @ionet

    解密 DePIN 生态:AI 算力的变革力量

    source: @ionet

    从 io.net 的供给端来看

    • 网络节点的有效性已得到验证

    • 算力设备在线稳定且数量充足

    • 拥有一定数量的高端算力设备,能够填补一部分市场需求

    但从需求端来看

    • 还有很多设备处于空闲状态

    • 大部分的算力任务需求来自于 BC8.AI

    • 企业端和个人端的需求还没有被激发出来

    解密 DePIN 生态:AI 算力的变革力量

    8.4 经济模型

    io.net 的网络原生代币为 $IO ,8 亿固定总量,5 亿初始供应,剩余的 3 亿个分 20 年将作为奖励每小时发放并支付给供应商及代币质押者。

    $IO 采用销毁通缩机制: 网络产生的收入用于购买和销毁 $IO,代币燃烧数量根据 $IO 的价格来调整。

    代币赋能

    • 支付手段:对用户和供应商以 USDC 付款需支付 2% 的手续费,以 $IO 付款不收取任何费用。

    • 质押:质押最少 100 个 $IO 代币,才能使节点从网络获得 $IO 空闲奖励。

    代币分配比例

    从分配比例图中可以看出,项目社区成员占据了一半的代币,这表明项目希望通过激励社区成员来推动项目的发展。研发生态系统占比 16%,确保了项目的技术和产品开发能够得到持续的支持。

    解密 DePIN 生态:AI 算力的变革力量

    从代币释放图中可以看出,$IO 代币是逐步线性释放的,这种释放机制有助于稳定 $IO 代币的价格,避免市场上突然出现大量的 $IO 代币导致价格波动。同时,$IO 代币的奖励机制也能够激励长期持有者和质押者,增强项目的稳定性和用户黏性。

    解密 DePIN 生态:AI 算力的变革力量

    总的来说,io.net 代币经济学是一个设计良好的代币方案。从代币分配比例中就可以看出,将一半的代币分配给社区,显示出了项目对社区驱动和去中心化治理的重视,这有助于项目的长期发展和公信力的建立。

    在我们前面的 DePIN 经济发展的三个阶段的第三个阶段中,已经阐述了“社区自治成为网络治理的主导模式”,io.net 已经为未来的社区自治打造了良好的基础。同时 $IO 代币的逐步释放机制和销毁机制也有效地分散了市场抛压,减少了价格波动的风险。

    从这里可以看出,io.net 的各种机制都说明了它是一个具有规划的长期发展的项目。

    8.5 项目参与方式

    当前,io.net 的“点火奖励”已经来到了第 3 季,持续时间为 6 月 1 日至 6 月 30 日,参与方式主要是将自己的算力设备并入到算力主网去参与挖矿。$IO 代币的挖矿奖励与设备算力大小,网络带宽速度等多种因素有关。

    在第 1 季的“点火奖励”中,用户设备并网的起步门槛为 “ GeForce RTX 1080 Ti ”,这也体现了我们前文中所说的-给予低端设备一个参与机会,这才符合区块链“公平、公正、透明”的精神。而后,在第 2 季和第 3 季的“点火奖励”中的起步门槛为“ GeForce RTX 3050 ”。

    这么做的原因是,从项目角度来说,在项目发展到一定阶段,低端算力设备对网络整体贡献较小,而且更好更强的算力设备能更好的维护网络稳定;从需求端用户来说,大多数用户更需要的是高端算力设备,他们需要高端算力设备去进行AI模型的训练和推理,低端的算力设备是满足不了他们的需求。

    所以随着项目的良好发展,提升参与门槛是一条正确的路线,就像比特币网络一样,更好、更强、更多的算力设备,才是项目方追求的目标。

    8..6 项目总结及展望

    io.net 在项目的冷启动期和网络建设阶段有着良好的表现,它完成了整个网络的搭建验证了算力节点的有效性,并产生了持续性的营收。

    项目下一步的主要目标是进一步扩展网络生态,提升网络需求端的增量,算力需求市场是一个很大的市场,如何在市场上推广该项目需要项目方的市场营销团队做出努力。

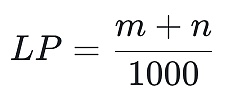
    实际上,我们通常所说的 AI 算法模型开发,主要是包括两大部分,一个是 训练( Train ),一个是推理( Inference )。我们用一个简单的例子来阐述这两个概念,现有一个一元二次方程:

    解密 DePIN 生态:AI 算力的变革力量

    我们利用 (x,y) 数据对(训练集)去求解未知系数  (a,b,c) 的过程就是 AI 算法的 训练(Train)过程;在得到未知系数 (a,b,c) 后,根据所给的 x 去求解 y 的过程就是 AI 算法的 推理(Inference)过程。

    从这个计算过程中,我们可以很明显的看出 训练(Train)过程的计算量是远远大于 推理(Inference)过程的,训练一个 LLM(Large Language Model,大语言模型)需要大量的算力集群支持,同时需要消耗大量的资金。以 GPT-3 175B 为例,使用了数千块Nvidia V100 GPU 进行训练,训练时间约为几个月,训练成本高达数千万美元。

    在去中心化计算平台上做 AI 大模型训练是很难的,因为模型训练过程中涉及到大规模数据之间的转移和传递,这个过程对网络带宽的需求非常高,而去中心化计算平台很难满足这一需求。英伟达(NVIDIA)之所以成为 AI 产业之王,除了其拥有高端算力芯片以及底层 AI 计算加速库(cuDNN)外还有其独有的通信桥 “NVLink”,“NVLink” 大大加快了模型训练过程中的大规模数据之间的流动。

    在 AI 产业中,大模型的训练不仅需要大量的计算资源,还涉及到数据的收集、处理和转换。这些过程往往需要规模化的基础设施和集中化的数据处理能力。正因为如此,我们可以看到 AI 产业本质上是一个规模化和集中化的行业,它依赖于强大的技术平台和数据处理能力来推动创新和发展。

    所以 io.net 等去中心化计算平台最适合做 AI 算法 推理(Inference),它的潜在客户对象应该是学生和那些基于大模型进行下游任务微调(Finetuning)的任务需求,因为它价格便宜、访问简单、算力充足。

    9. Aethir

    9.1 项目背景

    人工智能被视为人类见过的最重要的技术,随着通用人工智能( AGI )的到来,生活方式将发生翻天覆地的变化。然而,由于少数公司主导 AI 技术开发,导致了 GPU 富人和 GPU 穷人之间的 AI 财富差距。Aethir 通过其分布式物理基础设施网络( DePINs ),旨在增加按需计算资源的可获得性,从而平衡 AI 发展的成果分配。

    Aethir 是一个创新的分布式云计算基础设施网络,专门设计用于满足人工智能( AI )、游戏和虚拟计算领域对按需云计算资源的高需求。其核心理念是通过聚合来自全球各地的企业级 GPU 芯片,形成一个单一的全球网络,从而显著增加按需云计算资源的供应。

    Aethir 的主要目标是解决当前 AI 和云计算领域面临的计算资源短缺问题。随着人工智能的发展和云游戏的普及,对高性能计算资源的需求不断增加。然而,由于少数大公司垄断了大部分的 GPU 资源,中小型企业和初创公司往往难以获得足够的计算能力。Aethir 通过其分布式网络,提供了一种可行的解决方案,既可以帮助资源所有者(如数据中心、科技公司、电信公司、顶级游戏工作室和加密货币挖矿公司)充分利用他们未充分利用的 GPU 资源,也可以为终端用户提供高效、低成本的计算资源。

    分布式云计算的优势

    • 企业级计算资源:Aethir 聚合了高质量的 GPU 资源,例如 NVIDIA 的 H100 芯片,这些资源来自于各种企业和数据中心,确保了计算资源的高质量和可靠性。

    • 低延迟:Aethir 的网络设计能够支持低延迟的实时渲染和AI推理应用,这是当前集中式云计算基础设施难以实现的。特别是在云游戏领域,低延迟对于提供无缝的游戏体验至关重要。

    • 快速扩展:由于采用了分布式模型,Aethir 能够更快地扩展其网络,以满足快速增长的 AI 和云游戏市场需求。相比传统的集中式模型,分布式网络能够更灵活地增加计算资源供应。

    • 优越的单位经济性:Aethir 的分布式网络减少了传统云计算提供商的高运营成本,能够以更低的价格提供计算资源。这对于中小型企业和初创公司尤为重要。

    • 去中心化所有权:Aethir 确保资源所有者始终保留对其资源的控制权,资源提供者可以根据需求灵活调整其资源的利用,同时获得相应的收益。

    通过这些核心优势,Aethir 不仅在技术上领先,而且在经济和社会层面也具有重要意义。它通过分布式物理基础设施网络( DePINs ),使得计算资源的供应更加公平,促进了 AI 技术的普及和创新。这种创新模式不仅改变了计算资源的供应方式,也为未来 AI 和云计算的发展提供了新的可能性。

    9.2 技术架构

    Aethir 的技术架构由多个核心角色和组件组成,确保其分布式云计算网络能够高效、安全地运行。以下是各个关键角色和组件的详细描述:

    核心角色和组件

    节点运营者( Node Operators ):

    • 节点运营者提供实际的计算资源,他们将自己的 GPU 资源接入 Aethir 网络,以供使用。

    • 节点运营者需要首先注册其计算资源,并经过 Aethir 网络的规格评估和确认后,才能开始提供服务。

    Aethir Network

    容器( Containers )

    • 容器是执行计算任务的地方,确保即时响应的云计算体验。

    • 选择:AI 客户根据性能需求选择容器,游戏客户根据服务质量和成本选择容器。

    • 质押( Staking ):新节点运营者需要在提供资源之前质押 $ATH 代币。如果违反质量控制标准或中断网络服务,其质押的代币将被削减。

    • 奖励:容器通过两种方式获得奖励,一是保持高准备状态的奖励( PoC ),二是实际使用计算资源的服务奖励( PoD 和服务费)。

    检查器( Checkers )

    • 检查器的主要职责是确保网络中容器的完整性和性能,在注册、待机和渲染状态进行关键测试。

    • 检查方法:包括直接读取容器性能数据和模拟测试。

    索引器( Indexers )

    • 索引器根据用户需求,将其匹配到合适的容器,确保快速、高质量的服务交付。

    • 选择:随机选择索引器以保持去中心化并减少信号延迟。

    • 匹配标准:基于服务费用、体验质量和网络评价指数选择容器。

    终端用户( End Users ):

    终端用户是 Aethir 网络计算资源的消费者,无论是用于 AI 训练和推理,还是游戏。终端用户提交请求,网络匹配合适的高性能资源来满足需求。

    财政库( Treasury ):

    财政库持有所有质押的 $ATH 代币,并支付所有的 $ATH 奖励和费用。

    结算层( Settlement Layer ):

    Aethir 利用区块链技术作为其结算层,记录交易,支持扩展性和效率,并使用 $ATH 进行激励。区块链确保资源消耗跟踪的透明性,并实现近乎实时的支付。

    具体的关系可以参考如下的图表:

    解密 DePIN 生态:AI 算力的变革力量

    Source: @AethirCloud

    9.3 共识机制

    Aethir 网络采用独特的机制来操作,其核心是两个主要的工作证明:

    渲染容量证明

    (Proof of Rendering Capacity):

    • 每 15 分钟随机选择一组节点来验证交易。

    • 选择节点的概率基于其投资的代币数量、服务质量以及之前被选择的频率。投资越多、质量越好、之前被选择的次数越少,节点被选中的可能性越大。

    渲染工作证明(Proof of Rendering Work):

    • 节点的工作性能会被严密监控,以确保提供高质量的服务。

    • 网络会根据用户需求和地理位置调整资源分配,确保最佳服务质量。

    解密 DePIN 生态:AI 算力的变革力量

    Source: @AethirCloud

    9.4 代币经济学模型

    ATH 代币在 Aethir 生态系统中扮演着多种角色,包括交易媒介、治理工具、激励手段和平台开发支持。具体的用途包括:

    • 交易工具:ATH 作为 Aethir 平台内的标准交易媒介,用于购买计算能力,涵盖 AI 应用、云计算和虚拟化计算等业务模式。

    • 多样化应用:ATH 不仅用于当前业务,还计划随着生态系统的成长,在未来的合并挖矿和集成市场中继续发挥作用。

    • 治理与参与:ATH 代币持有者可以参与 Aethir 的去中心化自治组织( DAO ),通过提议、讨论和投票来影响平台决策。

    • 质押:新节点操作员需质押 ATH 代币,确保其与平台目标一致,并作为对潜在不当行为的防范措施。

    具体的分配策略:Aethir 项目的代币是 $ATH ,发行总量是 420 亿枚。其中最大的份额 35% 是给到 GPU 的提供者,比如数据中心和个体的散户,有 17.5% 的代币给到了团队和顾问,给节点检查和销售团队分别是 15% 和 11.75% 的代币。如下图所示:

    解密 DePIN 生态:AI 算力的变革力量

    Source: @AethirCloud

    奖励排放

    挖矿奖励的排放策略旨在平衡资源提供者的加入和长期奖励的可持续性。通过前期奖励的衰减函数,确保后期加入的参与者仍然受到激励。

    9.5 如何参与Aethir挖矿

    Aethir 平台选择将大部分总代币供应量( Total Token Supply, TTS) 用于挖矿奖励,这一分配对于加强生态系统至关重要。这种分配方式的目的是支持节点操作员和坚持容器标准。节点操作员是 Aethir 的核心,提供必要的计算能力,而容器则是提供计算资源的关键。

    挖矿奖励分为两种形式:渲染工作证明和容量证明。渲染工作证明鼓励节点运营商完成计算任务,并专门分发给容器。容量证明则是为了激励计算提供商准备好提供服务,容量证明就是把 GPU 提供给 Aethir 即可获得奖励;渲染工作量证明就是有客户用了你的 GPU,就会有额外的 token 奖励。奖励的会以 $ATH 代币发放。这些奖励不仅是分配,更是对 Aethir 社区未来可持续性的投资。

    10. Heurist

    10.1 项目背景

    Heurist 是一个基于 ZK Stack 的 Layer 2 网络,专注于 AI 模型托管和推断。它的定位类似于 Web3 版的 HuggingFace,为用户提供无服务器的开源 AI 模型访问。这些模型托管在一个去中心化的计算资源网络上。

    Heurist 的愿景是利用区块链技术去中心化 AI,从而实现技术的普及和公正创新。其目标是通过区块链技术确保 AI 技术的可访问性和无偏见创新,促进 AI 和加密货币的融合与发展。

    Heurist 一词源自 heuristics ,指的是人类大脑在解决复杂问题时快速达成合理结论或解决方案的过程。这个名字体现了 Heurist 旨在通过去中心化技术快速、高效地解决 AI 模型托管和推断问题的愿景。

    闭源 AI 的问题

    闭源 AI 通常遵循美国法律进行审查,但这可能与其他国家和文化的需求不符,导致过度审查或不足的情况。这不仅影响 AI 模型的表现,还可能侵犯用户的自由表达权。

    开源 AI 的崛起

    开源 AI 模型在许多领域表现优于闭源模型,如稳定扩散模型( Stable Diffusion )在图像生成方面的表现优于 OpenAI 的 DALL-E 2,并且成本更低。开源模型的权重是公开的,使得开发者和艺术家可以根据具体需求进行微调。

    开源AI的社区驱动创新也是一个亮点,开源AI项目得益于多样化社区的集体贡献和审查,促进了快速创新和改进。开源AI模型提供了前所未有的透明度,用户可以审查训练数据和模型权重,从而增强信任和安全性。

    开源 AI 和闭源 AI 的详细对比如下图所示:

    解密 DePIN 生态:AI 算力的变革力量

    Source: @heurist_ai

    10.2 数据隐私

    Heurist 项目在处理AI模型推理时,集成了 Lit Protocol 来实现数据在传输过程中的加密,包括 AI 推理的输入和输出。对于矿工,Heurist 有两个大的分类,分为公共矿工和隐私矿工:

    • 公共矿工:任何拥有符合最低要求的 GPU 的人都可以成为公共矿工,这类矿工处理的数据不加密。

    • 隐私矿工:受信任的节点操作员可以成为隐私矿工,处理敏感信息如机密文件、健康记录和用户身份数据。这类矿工需要遵守链下隐私政策。数据在传输过程中被加密,Heurist 协议的路由器和排序器无法解密这些数据,只有与用户访问控制条件( ACC )匹配的矿工才能解密数据。

    解密 DePIN 生态:AI 算力的变革力量

    Source: @heurist_ai

    如何建立隐私矿工 ( Privacy – enabled miners ) 的信任?主要通过下面两种方法

    • 链下共识:通过现实生活中的法律或协议建立的链下共识,技术上易于实现。

    • 可信执行环境( TEE ):利用 TEE 来确保敏感数据的安全和保密处理。尽管目前没有针对大型 AI 模型的成熟 TEE 解决方案,但 Nvidia 等公司的最新芯片在支持 TEE 处理 AI 工作负载方面展示了潜力。

    10.3 代币经济学模型

    Heurist 项目的代币名为 HUE ,作为一种实用型代币,其供应量具有动态性,通过发行和销毁机制进行调节。HUE 代币的最大供应量被限制在 10 亿枚。

    代币分配和发行机制大概可以分成两种,即挖矿和质押:

    • 挖矿:用户可以通过在他们的 GPU 上托管 AI 模型来挖掘 HUE 代币。挖矿节点需至少质押 10,000 HUE 或 esHUE 代币才能激活,低于此阈值将无法获得奖励。挖矿的奖励为 esHUE 代币,这些代币会自动复利到矿工节点的质押中。奖励率取决于 GPU 效率、可用性(正常运行时间)、运行的 AI 模型类型以及节点中质押的总量。

    • 质押:用户可以在矿工节点中质押 HUE 或 esHUE 代币。质押的收益以 HUE 或 esHUE 形式发放,质押 esHUE 代币的收益率高于 HUE 代币。解除质押 HUE 代币需要 30 天的锁定期,而解除质押 esHUE 则没有锁定期。esHUE 奖励可以通过一年的线性释放期转换为 HUE 代币。用户可以即时将其质押的 HUE 或 esHUE 从一个矿工节点转移到另一个节点,从而促进矿工之间的灵活性和竞争。

    代币的销毁机制

    类似于以太坊的 EIP-1559 模型,Heurist 项目实施了代币销毁机制。当用户支付 AI 推理费用时,部分 HUE 支付将被永久从流通中移除。代币的发行和销毁平衡与网络活动密切相关,在高使用率时期,代币的销毁率可能会超过新代币的发行率,从而使 Heurist 网络进入通缩阶段。该机制有助于调节代币供应,并使代币价值与网络内的实际需求保持一致。

    代币的贿赂机制( Bribes )

    贿赂机制最早由 Curve Finance 的用户提出,作为一种游戏化的激励机制,用于帮助引导流动性池的奖励。Heurist 项目借鉴了这一机制,并将其应用于提高挖矿效率。矿工可以选择设置其挖矿奖励的一定百分比作为贿赂以吸引质押者。质押者可能会选择提供最高贿赂的矿工,但也会考虑矿工的硬件性能和正常运行时间等因素。矿工被激励提供贿赂,因为较高的质押将导致较高的挖矿效率,从而创造一个竞争与合作并存的环境,矿工和质押者共同为网络提供更好的服务。

    通过这些机制,Heurist 项目旨在创建一个动态且高效的代币经济体系,以支持其去中心化的AI模型托管和推理网络。

    10.4 激励测试网

    Heurist 项目在激励测试网( Incentivized Testnet )阶段为挖矿奖励分配了 HUE 代币总供应量的 5% 。这些奖励以积分形式计算,在主网代币生成事件( TGE )后,这些积分可以兑换成完全流动的 HUE 代币。测试网奖励分为两类:一类用于 Stable Diffusion 模型,另一类用于大型语言模型( LLMs )。

    积分机制

    Llama Point:用于 LLM 矿工,每处理 1000 个由 Mixtral 8-7b 模型处理的输入/输出代币可获得一个 Llama Point 。具体计算如下图所示:

    解密 DePIN 生态:AI 算力的变革力量

    Waifu Point:用于 Stable Diffusion 矿工,每生成一个 512×512 像素的图像(使用 Stable Diffusion 1.5 模型,经过 20 步迭代)可获得一个 Waifu Point 。具体计算如下图所示:

    解密 DePIN 生态:AI 算力的变革力量

    每个计算任务完成后,系统会根据 GPU 性能基准测试结果评估任务的复杂性,并给予相应的积分。Llama Points 和 Waifu Points 的分配比例将在接近 TGE 时确定,考虑到未来几个月内两种模型类别的需求和使用情况。

    解密 DePIN 生态:AI 算力的变革力量

    Source: @heurist_ai

    参与测试网主要有两种方式:

    • 自带 GPU :无论你是拥有高端配置的游戏玩家、拥有闲置 GPU 的前以太坊矿工、偶尔闲置 GPU 的 AI 研究员,还是有多余容量的数据中心所有者,都可以下载矿工程序并设置矿工节点。详细的硬件规格和设置指南请访问矿工指南页面。

    • 租用托管节点:对于没有所需 GPU 硬件的人,Heurist 提供托管挖矿节点服务,价格具有竞争力。专业工程团队将负责矿机和软件的设置,你只需观察你的奖励每日增长即可。

    参与 Heurist 挖矿推荐的 GPU,如下图所示:

    解密 DePIN 生态:AI 算力的变革力量

    Source: @heurist_ai

    注意,Heurist 测试网有反作弊措施,每个计算任务的输入和输出都由异步监控系统存储和跟踪。如果矿工有恶意行为以操纵奖励系统(如提交不正确或低质量的结果、篡改下载的模型文件、篡改设备和延迟指标数据),Heurist 团队有权削减其测试网积分。

    10.5 Heurist 挖矿

    Heurist 测试网提供两种积分:Waifu Point 和 Llama Point。Waifu Point 是通过运行生成图像的 Stable Diffusion 模型获得的,而 Llama Point 是通过运行大型语言模型( LLM )获得的。在运行这些模型时,对显卡型号没有限制,但对显存的要求是硬性规定。显存需求越高的模型,其积分系数也会更高。

    下图列出了目前支持的 LLM 模型。对于 Stable Diffusion 模型,有两种模式:启用 SDXL 模式和排除 SDXL 模式。启用 SDXL 模式需要 12GB 显存,而排除 SDXL 模式在我的测试中发现只需 8GB 显存即可运行。

    解密 DePIN 生态:AI 算力的变革力量

    Source: @heurist_ai

    10.6应用

    Heurist 项目通过图像生成、聊天机器人和 AI 搜索引擎这三个应用方向,展示了其强大的 AI 能力和广泛的应用前景。在图像生成方面,Heurist 利用 Stable Diffusion 模型提供高效灵活的图像生成服务;在聊天机器人方面,通过大型语言模型实现智能对话和内容生成;在 AI 搜索引擎方面,结合预训练语言模型提供精确的信息检索和详细的答案。

    这些应用不仅提升了用户体验,还展示了 Heurist 在去中心化 AI 领域的创新和技术优势,应用效果如下图所示:

    解密 DePIN 生态:AI 算力的变革力量

    Source: @heurist_ai

    图像生成

    Heurist 项目的图像生成应用主要依赖于 Stable Diffusion 模型,通过文本提示生成高质量的图像。用户可以通过 REST API 与 Stable Diffusion 模型进行交互,提交文本描述来生成图像。每个生成任务的成本取决于图像的分辨率和迭代次数。例如,使用 SD 1.5 模型生成一个 1024×1024 像素、40 次迭代的图像,需要 8 个标准信用单位。通过这种机制,Heurist 实现了高效且灵活的图像生成服务。

    聊天机器人

    Heurist 项目的聊天机器人应用通过大型语言模型( LLM )实现智能对话。Heurist Gateway 是一个与 OpenAI 兼容的LLM API 端点,使用 LiteLLM 构建,允许开发者以 OpenAI 格式调用 Heurist API 。例如,使用 Mistral 8x7b 模型,开发者只需几行代码即可替换现有的 LLM 提供商,并以更低的成本获得类似于 ChatGPT 3.5 或 Claude 2 的性能。

    Heurist 的 LLM 模型支持多种应用,包括自动客服、内容生成和复杂问题解答等。用户可以通过 API 请求与这些模型交互,提交文本输入并获取模型生成的响应,从而实现多样化的对话和交互体验。

    AI 搜索引擎

    Heurist 项目的 AI 搜索引擎通过集成大规模预训练语言模型(如 Mistral 8x7b )来提供强大的搜索和信息检索功能。用户可以通过简单的自然语言查询获取准确且详细的答案。例如,在“谁是币安的 CEO ?”这个问题上,Heurist 搜索引擎不仅提供了当前 CEO 的名字( Richard Teng ),还详细解释了他的背景和前任 CEO 的情况。

    Heurist 搜索引擎结合了文本生成和信息检索技术,能够处理复杂的查询,提供高质量的搜索结果和相关信息。用户可以通过 API 接口提交查询,并获取结构化的答案和参考资料,这使得 Heurist 的搜索引擎不仅适用于一般用户,还能满足专业领域的需求。

    总结

    DePIN 是一种新的“共享经济”,是沟通物理世界和物理世界的桥梁。从市值估值角度和应用区域范围角度来分析,其还有很大的增长空间。相比较于 CePIN,DePIN 具有去中心化、透明性、用户自主权、激励机制和抗审查性等方面的优势,这些优势进一步推动了 DePIN 的发展。由于 DePIN 独特的经济模型,所以其较容易形成“飞轮效应”。当前很多 DePIN 项目已经完成了 “供给端” 的构建,如何激发真实用户的需求,扩大 “需求端” 的数量才是这些 DePIN 项目接下来需要重点攻克的方向。

    DePIN 虽然展现出了巨大的发展潜力,但仍面临着技术成熟度、服务稳定度、市场接受度和监管环境等方面的挑战。 然而,随着技术的进步和市场的发展,这些挑战有望逐步得到解决。  可以预见,一旦这些挑战得到有效解决,DePIN 将会迎来大规模应用 (Mass Adoption),为加密领域带来海量的新增用户和关注度,并很有可能成为成为新一轮的牛市发动机。 让我们共同见证这一天的到来!

    发表回复

    您的邮箱地址不会被公开。 必填项已用 * 标注